-
-
中國軸協技委會2025年度總結會議在洛陽召開
2026年03月16日
- 中國軸協技委會2025年度總結會議在洛陽召開 2026年03月16日
- 奮進2026·榜樣專輯 | 采訪國機精工勞模于曉凱 2026年03月12日
- 觸及靈魂發深省 刻印于心踐于行 ——軸研所紀委召開警示教育大會 2026年03月11日
- 軸研所舉辦“巾幗邁步初心在·匠心逐夢勇擔當” 三八節主題活動 2026年03月11日
- 國機集團科學技術研究院黨委書記、董事長章曉斌蒞臨軸研所考察交流 2026年03月10日
文章出處:知識中心 網責任編輯:洛陽軸承 閱讀量: 發表時間:2022年03月21日
摘要:航空發動機主軸軸承承受著高溫、高速、重載、貧油、斷油等極端工況,其疲勞、磨損等失效問題嚴重影響發動機的可靠性。因此,對航空發動機主軸軸承的使用狀態進行有效精確監測極為重要。對航空發動機主軸軸承工況特點、主要失效模式和失效機制進行了梳理;針對主軸軸承的狀態監測方法和技術,總結并對比分析了現有主軸軸承振動、滑油狀態、聲音、聲發射、溫度等監測方法的優勢與不足;討論了基于多傳感器信息融合的主軸軸承狀態監測方法及技術特色。結果表明:主軸軸承的材料、結構特性等對傳感器輸出信號的影響,傳感器結構的微型化、無線化,高效的多傳感器信息融合與決策方法,以及物理模型與數字模型的數據交互將成為主軸軸承狀態監測未來主要的研究方向。
航空發動機主軸軸承(以下簡稱主軸軸承)Dn值(內徑D與轉速n的乘積)可達3×106mm?r/min以上,接觸應力可達2 GPa以上,溫度達220 ℃以上。與普通軸承相比,主軸軸承轉速更高、載荷更大、保持架沖擊嚴重、摩擦生熱量更多、工作環境溫度更高、難以保證良好潤滑、短時間內存在大范圍工況變化、某些情況下存在嚴重打滑等。
主軸軸承的服役過程實際上是兩個粗糙表面的摩擦行為,Vakis等[1]討論了物理、化學、機械載荷等復雜影響下兩個粗糙表面的摩擦行為,認為在摩擦學模型中,要考慮塑性、黏著、摩擦、磨損、潤滑以及表面化學等互補的非線性效應仍需要繼續努力。
粗糙表面間的摩擦可能會導致軸承產生疲勞、磨損等失效。航空發動機各個支點的軸承結構存在明顯不同,失效表現存在差異。軸承服役狀態是多因素共同作用的結果。內因包括材料、表面性能等,外因包括潤滑狀態、載荷、轉速影響等。疲勞限制主軸軸承的最終壽命,但早期的非正常失效仍占大多數[2]。
軸承材料通過不斷改進以滿足先進的航空發動機主軸軸承的要求,對于含有不同元素及不同配比的軸承材料及組合,其抗磨損性能及其失效機制都會發生改變[3?4];Wakiru等[5]認為潤滑狀態監測可以作為機械設備的故障預警,主軸軸承的潤滑狀態監測對故障預防具有重要意義;主軸軸承的轉速和載荷是影響失效的主要因素,對軸承承載滾動體數量、內外圈相對位置、接觸應力、打滑率、接觸區溫度等都有影響[6]。
判斷主軸軸承服役狀態所檢測的主要參數包括振動[7?9]、聲音[8]、聲發射[10]、潤滑油[11?12]、溫度[13?14]等。高端裝備通常會安裝多個傳感器,通過多傳感器信息配合信息融合算法可以獲得其狀態更全面、完整的描述。
1 主軸軸承主要失效模式
主軸軸承運行在極端苛刻工況及復雜環境條件下,失效形式十分復雜且可能出現多種失效并存。主軸軸承的主要失效模式包括疲勞、磨損、熱損傷、打滑蹭傷、保持架失效等[15],如圖1所示。

圖1 航空發動機主軸軸承主要失效模式[16?18]
Fig.1 Main failure modes of aeroengine mainshaft bearings[16?18]
1.1 疲勞
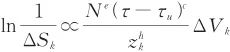
疲勞分為表面起源疲勞和次表面起源疲勞。表面起源疲勞是指表面在超過疲勞強度的循環壓力作用或由于氫離子的攻擊下,在表面產生疲勞;次表層起源的疲勞,這種疲勞與最大正交切應力相關。L?P(Lundberg?Palmgren)理論[19]可以對軸承疲勞壽命進行估計,在此基礎上適用于主軸軸承的I?H(Ioannides?Harris)壽命理論基本公式如式(1)所示[20]

式中△Sk代表單元體積幸存概率,N代表每一轉的應力循環次數,τ代表滾道接觸下的切應力,τu代表材料的疲勞極限切應力,△Vk代表應力作用的單元體積,zk代表應力作用深度,e、c、h代表通過試驗確定的Weibull參數。
在復雜苛刻工況下,僅有理論計算壽命不夠可靠,裂紋在萌生與擴展階段的晶格斷裂會伴隨著聲發射現象。因此可以采用振動[21]、潤滑油光譜、磨損顆粒計數器、聲發射、溫度等類型傳感器進行監測。
1.2 磨損
磨損指粗糙表面在高拖動力下表面材料以顆粒形式脫落的現象[22]。在理想潤滑條件下,接觸表面間會由潤滑油膜完全隔開,但實際上在高速重載的工況下,無法保證主軸軸承接觸區的粗糙峰被完全隔開。Archard[23]提出的粗糙表面磨損定律如式(2)所示。

式中V代表磨損體積,kadh代表黏著磨損系數,F代表壓力,s代表滑動距離,σo代表材料硬度。通過公式可以計算主軸軸承的磨損體積,評估磨損狀態。
國內外許多學者基于此對粗糙表面的磨損模型進行了修正與改良,但由于磨損行為的復雜性,目前并沒有形成普適性規律。主軸軸承工況惡劣,其磨損模型更加難以建立,所以針對主軸軸承磨損的研究大部分基于試驗展開。Gloeckner等[24]研究了微動磨損對主軸軸承性能的影響。
磨損會導致主軸軸承表面形貌變化,導致溫度上升、潤滑油清潔度下降、振動增大等。可以采用振動傳感器、溫度傳感器、潤滑油傳感器、聲發射傳感器等進行軸承磨損的監測。
1.3 熱損傷
主軸軸承在運轉中的摩擦會導致一定的溫升,這種溫升幅度與載荷、轉速、潤滑狀態以及接觸表面狀態有關[25]。ISO(International Organization of Standardization)標準通過潤滑油品質因數考慮熱效應對軸承壽命的影響,但此標準不適用于極低或極高的轉速。
主軸軸承內、外圈摩擦熱流量如式(3)所示

式中Qn代表內、外圈的摩擦熱流量,μ代表滾動體與滾道的摩擦因數,p1jp2j代表第j個滾動體與外圈、內圈接觸區的接觸壓力,v1jv2j代表第j個滾動體與外圈、內圈接觸區的相對滑動速度。根據熱流量可以計算表面最大溫升,對比軸承材料溫度許用極限可以判斷軸承是否會發生熱損傷。
陳觀慈等[26]對高速球軸承各個熱源分別進行生熱計算,得到了更為精確的高速球軸承局部生熱和總生熱,這對確定主軸軸承的工況范圍避免熱損傷具有重要意義;高速沖擊滑動接觸在主軸軸承中比較常見,Wang等[27]研究發現M50鋼在高速沖擊滑動接觸時表面損傷主要是由應變能產生的熱耗散導致表面軟化導致的。瞬時熱沖擊導致的熱振效應可能引起主軸軸承的剛度發生變化。
主軸軸承的設計參數、裝配工藝、變形等都會影響發熱量,工作中過高的溫度會造成潤滑劑劣化加快,零件尺寸變化,異常振動,表面燒傷甚至材料軟化脫落等。可以采用溫度、潤滑油傳感器等進行監測,合理調整工況參數、潤滑油流量等避免主軸軸承發生熱損傷。
1.4 打滑蹭傷
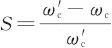
航空發動機工作時存在大工況波動,輕載打滑蹭傷是一類非常典型的失效模式。在高速輕載情況下,非承載區中的滾動體在離心效應的作用下與內圈脫離接觸,拖動力不足產生打滑;剛剛進入承載區的滾動體突然獲得拖動力轉速猛增出現打滑。打滑率計算如式(4)所示

式中S代表打滑率,ω′c代表保持架理論轉速,ωc代表保持架實際轉速。可以根據打滑率判斷當前打滑情況。
打滑會引起軸承接觸副表面摩擦因數增大,容易造成磨損,主承載區溫度升高,潤滑油黏度下降并劣化加速;滾動體與滾道間若產生劇烈滑動可能導致接觸表面出現蹭傷,產生的局部高溫可能導致表面材料軟化脫落等。崔立等[28]分析了高速球軸承的打滑機理,并推導了滾動體和保持架理論轉速的精確計算公式,得到了滾動體不發生打滑的臨界負荷;李軍寧等[29]提出一種高速滾動軸承滑蹭試驗系統,研究了多個組合因素作用下的滑蹭規律;劉延斌等[30]提出一種具有斜面兜孔結構的圓柱滾子軸承,并對其高速防打滑特性展開研究。
主軸軸承打滑蹭傷會導致接觸副表面幾何形貌產生變化、微裂紋萌生、軸承產生嘯叫、潤滑油污染等,且打滑會導致故障特征頻率的理論值與試驗值產生較大偏差。可以通過電磁或光纖等類型的傳感器測量保持架轉速計算整體打滑率。
1.5 保持架失效
工況突變、潤滑不良等會引起保持架沖擊、打滑、卡滯等。保持架運行中的磨損、熱變形、沖擊、碰撞、初始裂紋、高轉速下的離心應力以及加工損傷等都可能導致過早失效。
劉魯等[31]認為造成高Dn值軸承保持架斷裂的主要原因為高轉速下的離心應力與兜孔圓角過小造成的應力集中;主軸軸承的載荷對保持架性能具有較大影響,Takabi等[32]研究認為高速重載條件下滾動體和保持架接觸力過大會引起保持架磨損、不穩定運動等最終導致軸承失效;張濤等[33]總結了保持架動態特性理論和試驗研究進展、保持架穩定性影響因素、穩定性判據和優化準則,討論了存在的不足,對提升主軸軸承保持架穩定性具有一定參考。
主軸軸承的應力狀態、保持架幾何參數、潤滑狀態、保持架質量等對保持架都有較大影響。保持架潤滑不良會導致摩擦力矩變化,磨損加劇、精度下降甚至保持架斷裂。可采用振動、溫度、潤滑油、聲學傳感器等對主軸軸承的保持架進行監測并分析,但現有方法在觀測保持架運動、測量保持架磨損、預防保持架失效的準確性及計算速度等方面仍存在一定不足。
2 主軸軸承主要狀態監測方法
主軸軸承由于其高載荷、大范圍工況變化,從表現出損傷特征到失效的時間較短,因此一旦發現故障征兆,應果斷調整運行工況,盡快安排檢修。依據傳感器監測信號類別的不同,傳感器分為振動傳感器、聲傳感器、聲發射傳感器等。
2.1 振動特征監測方法
主軸軸承產生疲勞、磨損等故障時,會產生異常的振動。振動監測方法通過在軸承座或箱體適當方位安裝振動傳感器采集信號并進行分析得以實現。
振動傳感器安裝位置受限于發動機結構,通常只在航空發動機的機匣處安裝一個振動傳感器,且航空發動機系統存在振動傳遞路徑長,頻率成分復雜,信號衰減嚴重等問題,這對振動信號的分析方法提出了較高的要求[34]。
陳果等[35]研究了基于機匣測點信號進行主軸軸承故障診斷的靈敏性問題,當滾動軸承和機匣的連接剛度較小時振動信號會產生很大的衰減,但通過選擇合適的方法依舊可以進行較為準確的診斷;張向陽等[36]提出一種基于卷積神經網絡的機匣振動信號軸承故障診斷方法,通過試驗證明了該方法的有效性。
通過對振動信號計算時域特征、頻域特征以及時頻域特征參數可以進行診斷[37?38]。時域參數包括有效值、方均根值、峰值等有量綱參數及峭度、峰值因數、波形因數、裕度指標等無量綱參數;頻域分析法包括功率譜、幅值譜、倒譜、復倒譜、高階譜和包絡譜等;時頻方法包括短時傅里葉變換、Wigner?Ville分布[39]、譜峭度[37,40]、小波分析[41]、隨機共振[34,42]等。
國內外的學者基于航空發動機主軸軸承的振動信號提出了許多故障診斷方法,通過試驗等方法證明其具有較高的實用性與準確性。Zhang等[43]提出一種AMS(alternative minimization solver)?CluLR方法(圖2),通過航空發動機軸承高速試驗證明算法可以準確識別軸承的外圈故障;Wang等[44]提出了一種基于支持向量機的航空發動機高速軸承早期故障定量診斷的方法,可以區分不同故障類型以及同一類型故障的不同程度;廖明夫等[45]發現航空發動機中介軸承振動信號頻譜中會產生不隨轉速變化的倍頻“恒間距”特征,通過試驗證明該特征可以作為故障診斷的依據。

圖2 軸承全壽命實驗聲發射信號RMS值變化[43]
Fig.2 Change of RMS value of acoustic emission signal in bearing life test[43]
由于振動信號采集方便,傳感器價格相對較低,理論較為成熟等原因,國內外的各種滾動軸承監測系統大多基于振動傳感器進行開發。
2.2 聲學特征監測方法
本質上,聲音是由振動產生并經過介質進行傳播的,同樣可以反映軸承工作狀態,但更容易受到噪聲干擾。聲音信號的分析方法在傳感器采集位置距聲源較近時和振動信號基本一致,但傳感器易受各種雜音干擾,技術難度較高,應用不及振動方法廣泛。
王雅紅等[46]提出一種基于乏信息系統的本征融合技術,通過軸承噪聲試驗,證明聲學監測方法可以有效地采集軸承的特征信號,并可以根據采集數據模擬乏信息研究對象的分布特征,對解決小批量航空軸承的性能評估問題具有重要意義。
聲學方法具有攜帶信息豐富和非接觸測量的特點,在某些安裝振動傳感器存在一定困難的復雜條件下,聲學方法具有其獨特的優勢。
2.3 聲發射特征監測方法
聲發射傳感器的基本原理是收集固體在應力作用下產生的彈性波[47],在高轉速軸承的信號分析中更具優勢。Liu等[48]通過試驗采集了軸承全壽命周期的聲發射信號方均根(root mean square,RMS)值,從圖3中可以發現軸承在裂紋在萌生、擴展及退化失效階段會產生較高幅值的沖擊;Li等[49]提出一種基于聲發射技術的航空軸承故障檢測方法,通過試驗驗證了方法的有效性。

圖3 軸承全壽命試驗聲發射信號RMS值變化[48]
Fig.3 Change of RMS value of acoustic emission signal in bearing life test[48]
聲發射技術是一種動態的無損檢測方法,不會對零件造成損傷。這種監測方法的優點在于,傳感器不需要外部提供能量,具有較強的環境適應性,對設備的尺寸與負載不敏感,不易受到低頻噪聲干擾;缺點在于,受到構件材料影響較大,對已經存在但未發生擴展的裂紋無法進行檢測,且對數據存儲系統與信號分析系統要求較高。
2.4 潤滑油特征監測方法
主軸軸承通常都有大流量潤滑油循環使用,當出現磨損、疲勞等會產生顆粒進入潤滑油。潤滑系統中的磨屑質量濃度和顆粒尺寸會隨時間變化,如圖4所示,根據潤滑系統中的磨屑尺寸、質量濃度、形貌、成分可以判斷設備是否故障及故障位置。

圖4 磨屑尺寸、分布與設備狀態的關系[11]
Fig.4 Relationships of wear debris size distribution and machine conditions[11]
潤滑油監測技術包括理化分析[50?53]、光譜分析[54]、鐵譜分析[55?56]、顆粒計數[57]等。在潤滑系統中通常都會安裝過濾網,過濾從軸承等元件上脫落的顆粒,保持潤滑油的清潔。不同使用環境下的潤滑油過濾網具有不同的過濾精度,見表1。
表1 不同應用中的潤滑油過濾網過濾精度
Table.1 Filtration accuracy of lubricating oil filters in different applications

民航等發動機系統工況較為平穩且運行時間較長,要求潤滑油具有較高的清潔度;戰斗機以及導彈等要求非常高的機動性,會產生大量磨屑,如果采用較高的過濾精度則會使大量顆粒被阻攔在過濾網上,容易造成過濾網堵塞。為避免航空發動機突然空中停車,戰斗機、導彈的發動機潤滑系統常采用較低的過濾精度,但較低的過濾精度可能會導致雜質顆粒進入到滾動接觸表面之間加劇磨損。
在軸承運行的過程中可能會由于疲勞、磨損等產生磨屑并進入潤滑系統中,潤滑油中的顆粒種類及產生原因見表2。通過分析磨屑的質量濃度、尺寸分布、形貌特征可以判斷主軸軸承的狀態。劉洪濤等[58]提出一種基于雷達圖的磨屑輪廓特征表征方法,如圖5所示,可以辨別具有相似輪廓弧度的不同磨屑,根據不同分形維數可表達不同輪廓復雜程度的磨屑,簡單可靠;王洪偉等[59]針對光譜方法對大尺寸磨屑不敏感、鐵譜方法操作復雜等問題,提出了一種基于光學的磨屑監測技術,通過試驗驗證該方法的有效性。
表2 主軸軸承運行中黑色顆粒產生原因、尺寸范圍、形貌特征及含義[18,60?63]
Table.2 Causes,size range,morphological characteristics and meaning of black debris during main?shaft bearing operation[18,60?63]


圖5 不同輪廓的磨屑輪廓雷達圖表征及其雙對數坐標[58]
Fig.5 Radar graph characterization of wear debris profiles with different profiles and its double logarithmic coordinates[58]
圖5中l為磨屑中心與輪廓邊緣焦點的長度,N為將l按順序排列后的順序數值(N=1,2,3,…,n)。
加拿大GasTOPS公司的MetalSCAN潤滑油磨屑監測傳感器[64?65]已成功應用于F119?PW?100發動機;美國Eaton公司的QDM磨屑傳感器[66],已成功應用于GE90發動機上;英國Stewart Hughes有限公司的OLS靜電潤滑油傳感器[67?69]已成功應用于F100?PW?100發動機。不同潤滑油監測方法對比如表3。
表3 潤滑油監測各類技術比較[60?61,63,70?71]
Table.3 Comparison of various technologies for lubricating monitoring[60?61,63,70?71]

2.5 溫度特征監測方法
主軸軸承運行過程中溫度可達200 ℃以上,接觸區局部瞬閃溫度可達600 ℃以上,對載荷、轉速、潤滑狀態及打滑等比較敏感。主軸軸承接觸表面的溫度無法直接測量,通常通過測量其他表面結合溫度場計算進行接觸表面的溫度估計,結合材料性能參數可以大致判斷主軸軸承是否會發生熱損傷。常用的主軸軸承溫度監測的方法主要有熱電偶傳感器、示溫漆,測溫晶體等。熱電偶傳感器安裝復雜,示溫漆、測溫晶體等無法監測溫度的變化過程。一些學者提出了一些改進方法,如圖6所示。Ebner等[13]在陶瓷盤表面通過離子束濺射方法加工了薄膜鉑電阻溫度傳感器,成功測量了彈流潤滑下的接觸表面溫度,雖然接觸表面的傳感器會影響溫度分布,但相比其他遠距離測量方法這種方法的誤差要小得多。Seoudi等[76]在潤滑油中加入量子點,基于量子點的光致發光原理成功測量了1.3 GPa接觸壓力下的接觸區的溫度,結果與理論值較為吻合。

圖6 彈流接觸區溫度測量傳感器[13]
Fig.6 Elastohydrodynamic contact area temperature measurement sensor[13]
溫度監測對預防膠合等熱損傷比較有效,但在監測疲勞等損傷時效果較差。因此單一溫度監測不適用于主軸軸承的狀態監測,溫度監測對防止主軸軸承熱損傷、研究主軸軸承的熱損傷機理具有重要意義。
3 基于信息融合的多傳感器信號分析方法
信息融合方法實際上是對人腦綜合處理復雜問題的一種模擬。在多傳感器系統中,各種傳感器提供的信息可能具有不同的特性,通過在空間和時間上充分利用多個傳感器資源,對各種觀測信息進行合理的支配與使用,把冗余互補的信息依據某種準則進行結合,產生對觀測對象的一致性描述,同時產生新的融合效果。基于各傳感器的獨立觀測信息,通過對信息的優化組合導出更多的有效信息,最終提高整個系統的有效性。主軸軸承的信號故障特征弱、背景噪聲強,信息融合方法處理這種信號具有其獨特的優勢。
3.1 信息融合方法的特點
單一類型的傳感器采集信息有限,采用多種傳感器可以進行信息互補,提高健康狀態監測的準確率。Duan等[77]分析了不同類型的狀態監測技術的優缺點,認為多傳感器信息融合是未來機械設備狀態監測的發展趨勢;林桐等[78]提出一種基于標準化歐氏距離的多特征融合評估方法,通過試驗證明該方法優于主元分析(principal components analysis,PCA)及支持向量數據描述(support vector data description,SVDD)方法。
按照數據抽象的層次,融合可以劃分為3個級別,數據層融合、特征層融合及決策層融合,見圖7。

圖7 基于信息融合的狀態監測原理圖
Fig.7 Schematic diagram of condition monitoring based on information fusion
數據層融合直接對傳感器的觀測值進行融合,優點在于具有其他層次方法無法企及的精確性。缺點在于運算量較大且無法進行異構數據的融合。主要算法包括線性加權類算法、Kalman濾波[79]方法等。
特征層融合由每個傳感器計算出能夠代表該傳感器觀測值的特征向量,并將此向量進行融合處理。優點在于,這類方法實現了可觀的數據壓縮;缺點在于,原始數據中的細微信息可能丟失。主要算法包括:核主元分析(kernel principal component analysis,KPCA)、支持向量機(support vector machine,SVM)、神經網絡、k最鄰近分類算法(k?nearest neighbor,kNN)方法等。
決策層融合通過融合每個傳感器的決策得出系統決策。優點在于:對運算性能要求較低,不要求采集設備是同類傳感器。缺點在于原始數據損失大,對微小因素的表現不明顯。主要算法包括專家系統、Dempster?Shafer(D?S)證據理論[80?81]等。
3.2 主要算法
信息融合方法的發展與數學理論的不斷推陳出新密不可分。數學方法是信息融合方法的基本工具,數據的合理表達需要經過數學方法對信號進行處理,常用算法如下:
1)加權平均算法。這種方法是將傳感器的觀測數據按照一定的權值進行相加,并作為融合的結果。加權平均法[82]的優點在于算法的穩定性較好,可以突出數據中的細微信息;缺點在于相對來說運算量較大。
2)Kalman濾波。Kalman濾波[79]方法主要用針對傳感器的冗余信息進行融合。Kalman濾波方法的計算方式為遞推,不需要進行大量數據的計算與存儲,不要求系統有比較強的計算能力。
3)D?S證據理論。證據理論是由Dempster[83]和Shafer[84]提出的一種方法,在解決決策沖突中具有良好的效果。證據理論的優點在于具有直接表示“不確定”的能力;缺點在于要求證據是獨立的,其合成規則存在比較大的爭議,計算上存在潛在的指數爆炸等。嚴新平等[85]提出一種基于D?S證據理論,利用光譜、鐵譜等進行信息融合對軸承擦傷、熱損傷剝落等進行分類的方法。
4)人工智能。人工智能技術作為一種新興的故障診斷方法受到關注,在復雜系統中具有較好的效果。Lin等[86]提出一種基于超球面判據的航空發動機主軸軸承人工智能融合診斷方法,通過試驗數據證明該方法具有較高的準確率。基于人工智能的診斷方法主要包括神經網絡[87],機器學習[88],模糊邏輯[89]、遺傳算法[90],隱馬爾可夫模型[91],貝葉斯方法[92],支持向量機[93]等。
人工智能方法的優點在于診斷結果依賴于觀測數據,與系統復雜程度無關,對于一些復雜的系統有比較好的效果;缺點在于完成學習過程需要各種狀態下的樣本數據,而且診斷的精度與樣本的完整性和代表性具有非常大的關系。
4 發展趨勢
隨著航空技術的不斷發展,航空發動機的轉速不斷提高,主軸軸承的Dn值已向4×106mm?r/min發展。為適應更加苛刻的航空工況,主軸軸承的狀態監測方法存在更大的挑戰。航空發動機主軸軸承狀態監測的重點與難點在于準確的數據采集與高效的數據分析。傳感器技術不斷發展,許多不同形式的高靈敏度傳感器相繼問世,但要適應高溫、高應力、油霧環境、大振動的航空工況是一項非常具有挑戰性的工作,復雜工況下,高背景噪聲信號的快速、有效處理也具有相當大的難度。
4.1 機理研究方向
主軸軸承的材料變化會導致傳感器信號變化,集成結構應用影響信號傳遞路徑,傳感器工作環境高溫影響信號穩定性,試驗載荷譜及等效加速方法將影響數據有效性。
1)材料特性對傳感器響應的影響[94]。主軸軸承新材料的使用成為必然趨勢,而新的本構方程將直接影響聲發射等傳感器的信號采集。建立材料性能數據庫并不斷完善對提升狀態監測效果具有重要價值。
2)動態特性對傳感器信號采集的影響[10]。航空發動機為追求性能提升,不斷進行結構優化。主軸軸承已應用彈支、薄壁等結構并朝著集成化發展,振動、聲發射等信號的傳遞路徑可能發生較大改變。對新型結構的動力學特性進行研究,選擇合適的傳感器測點對減少噪聲干擾,提升信號質量具有重要意義。
3)溫度場計算方法[95]。主軸軸承接觸表面的溫度不可直接測量,需要通過計算溫度場進行估計。隨著主軸軸承最高工作溫度不斷提高,需要對現有計算方法進行改進以提高精度及效率。
4)試驗參數對數據有效性的影響[15]。主軸軸承從設計到應用需要經過4級試驗,即材料試驗、標準軸承試驗、全尺寸模擬工況試驗和主機系統評價試驗。整個評價的過程中,需要研究合理的載荷譜保證試驗器的試驗條件能夠達到對主軸軸承工況的有效模擬,以及能夠縮短時間的等效加速試驗方法。
4.2 傳感器方向
適應高溫、高振動、油霧環境,結構微型化、無線化將成為主軸軸承傳感器未來的發展方向[96]。
1)惡劣工作環境適應[97]。實現傳感器微型化、無線化,消除因預留傳感器供電線與傳感器信號傳輸線對發動機結構的影響,克服復雜環境下的信號干擾;針對復雜苛刻工況下應用的半導體、金屬等敏感元件新型加工工藝。
2)新型傳感材料的應用[98]。將納米發電材料、石墨烯等智能料應用于傳感器以提升靈敏度;開發可嵌入主軸軸承,適用于高溫、油霧環境、大量程、抗干擾能力強、高采樣頻率的新型傳感器,提升診斷準確性。
3)多傳感器潤滑系統監測[12,61,99]。潤滑系統中陶瓷、鈦合金等非鐵磁性顆粒數量、形態等參數的實時測量;光譜、鐵譜監測方法的在線化;潤滑油理化特性在線監測傳感器開發。
4)高溫測量傳感器[100?101]。高速重載工況下的旋轉套圈溫度測量方法;量子點傳感器的接觸區溫度與應力測量;接觸區高響應瞬態溫度傳感器;集成抗磨損功能的涂層溫度傳感器;非接觸式紅外溫度采集方法的應用。
5)動態特性監測[102?103]。基于超聲等方法的潤滑油膜厚度動態測量方法;基于納米發電材料的轉速測量方法;滾動體局部打滑的在線監測方法;測量溫度、應力、轉速等參數的嵌入式光纖傳感器研究;主軸軸承各個摩擦副的磨損在線監測方法;基于高速攝影方法的旋轉元件信息采集。
4.3 算法方向
高精度、高計算效率的多元信息融合與決策方法將成為主軸軸承的狀態監測數據處理算法的發展方向[77,104]。
1)振動監測。開發精度更高、計算更快的數據處理算法;解決主軸軸承工作過程中的大范圍工況變化、多振源耦合、高背景噪聲等問題。
2)針對聲發射信號,開發高采樣頻率信號的快速處理方法,并通過傳感器信號判斷損傷部位,定量判斷損傷大小。
3)潤滑油監測。研究潤滑油更大流量與更高流速下的顆粒計數方法,以及更全面的顆粒形貌表征方法;潤滑油理化特性傳感器采集數據的高效處理方法。
4)基于圖像處理方法的結構損傷判斷、潤滑油性能評估、顆粒計數與形貌分析。
5)智能傳感器。基于溫度、振動、潤滑油等多傳感器數據,結合信息融合方法形成主軸軸承服役狀態與性能預測的集成化動態評估方法;通過集成多傳感器冗余信息結合信號處理技術,提升監測系統的可靠性,形成軟硬協同的視情維護策略;面向工況需求形成基于壽命和可靠性的軸承智能管控系統,根據軸承理論計算、歷史數據和運行數據結合人工智能技術推測未來的動態使用壽命,并依據一定的規則,給出主軸軸承潤滑條件等參數的調整意見。
4.4 人工智能方法數據庫建立
數字孿生與人工智能[88,105?108]。建立主軸軸承材料試驗、標準軸承試驗、全尺寸模擬工況試驗和主機系統評價試驗的多傳感器數據數據庫,建立物理模型與數字模型,通過物理模型與數字模型之間的數據交互不斷修正模型,基于人工智能技術預測主軸軸承在不同工況下的服役性能,模擬主軸軸承的損傷,給出不同條件下的主軸軸承失效邊界。
建立主軸軸承運行歷史多傳感器數據數據庫,保存軸承從開始服役到最終失效的全部數據以及對應的工況參數,以海量數據作為支撐,結合人工智能技術對主軸軸承的設計參數、加工方法、裝配方式等進行指導,優化數字模型,修正失效邊界,并給出故障預警閾值的參考。
引用本文:劉朋,王黎欽,張傳偉,等.航空發動機主軸軸承狀態監測研究現狀與發展趨勢[J].航空動力學報,2022,37(2):330?343. (LIU Peng,WANG Liqin,ZHANG Chuanwei,et al.Research status and development trend of condition monitoring on main?shaft bearings used in aircraft engines[J].Journal of Aerospace Power,2022,37(2):330?343.)
作者簡介:劉朋(1993-),男,博士生,主要從事航空發動機主軸軸承狀態監測研究。
通訊作者:王黎欽(1964-),男,教授、博士生導師,博士,主要從事高端滾動軸承技術與應用方向研究。E?mail:lqwang@hit.edu.cn
基金信息:國家重點研發計劃(2018YFB0703804)
中圖分類號:V233.1; TH133.334
文章編號:1000-8055(2022)02-0330-14
文獻標識碼:A
收稿日期:2021-02-24
出版日期:2022-02-28
網刊發布日期:2022-03-08
本文編輯:王碧珺
軸研所公眾號 軸承雜志社公眾號
營銷熱線
0379-64367521
18625985522
0379-64880085